Artificial Noise Assisted Secure Transmission under Training and Feedback
Published in IEEE Transactions on Signal Processing, 2015
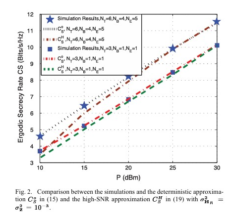
Abstract: This paper proposes a framework for the artificial noise assisted secure transmission in multiple-input, multiple-output, multiple antenna eavesdropper (MIMOME) wiretap channels in frequency-division duplexed (FDD) systems. We focus on a practical scenario that only the eavesdroppers’ channel distribution information (CDI) is available and the imperfect channel state information (CSI) of the legitimate receiver is acquired through training and analog feedback. By taking explicitly into account the signaling overhead and training power overhead incurred by channel estimation and feedback, we define the achievable effective ergodic secrecy rate (ESR), and investigate a joint power allocation and training overhead optimization problem for the maximization of effective ESR. We first derive a deterministic approximation for the achievable effective ESR which facilitates the joint optimization. Then, efficient iterative algorithms are proposed to solve the considered nonconvex optimization problem. In particular, in the high-SNR regime, a block coordinate descent method (BCDM) is proposed to handle the joint optimization. In the low-SNR regime, we transform the problem into a sequence of geometric programmings (GPs) and locate its Karush-Kuhn-Tucker (KKT) solution using the successive convex approximation (SCA) method. For the general case of SNR, we maximize the lower bound of the achievable effective ESR. Simulation results corroborate the theoretical analysis and illustrate the secrecy performance of the proposed secure transmission scheme.
Index Terms: Physical layer security, MIMOME wiretap chan nels, artificial noise, power allocation, training, feedback, ergodic secrecy rate


Recommended citation: Wang H M, Wang C, Ng D W K. Artificial noise assisted secure transmission under training and feedback[J]. IEEE transactions on signal processing, 2015, 63(23): 6285-6298.
Download Paper
